• Предмет: Алгебра
  • Автор: ant6177
  • Вопрос задан 2 года назад

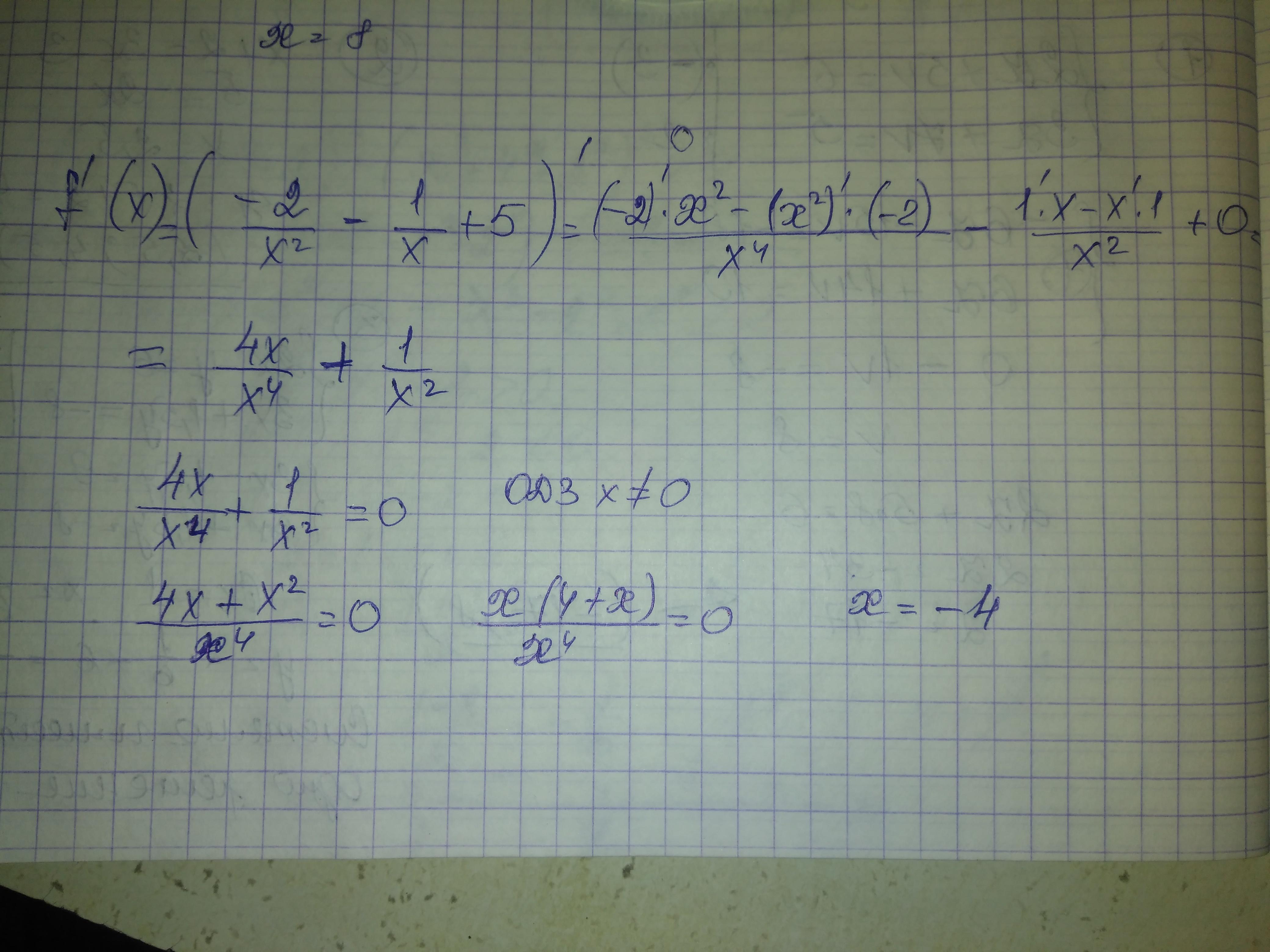
Решите уравнение f'(x)=0 f(x)=-2/x^2-1/x+5


MizoriesKun: При чем тут неравенство ??? Вы хоть задание прочтите )
ant6177: Спасибо, исправил
MizoriesKun: Начало и конец дробей ?? (-2/x^2)- (1/x)+5 или (-2/x^2) - (1/x+5)
MizoriesKun: Аууу
ant6177: (-2/x^2)- (1/x)+5

Ответы

Ответ дал: MizoriesKun
1

Если условие правильно поняла , то

Приложения:

ant6177: Спасибо)))
MizoriesKun: Пиши условие правильно , быстрее будет ))
Вас заинтересует