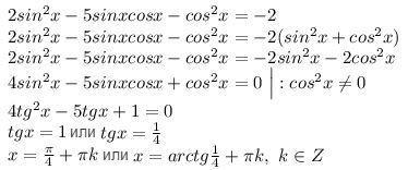
2sin^2x-5sinxcosx-8cos^2x=-2 помогите пожалуйста срочно
model86:
Это же не начальные классы, так почему ты выбрал 1-4 классы!!!
Ответы
Ответ дал:
1
-------------------------------------- это сложно
Приложения:

Вас заинтересует
1 год назад
1 год назад
1 год назад
1 год назад
3 года назад
3 года назад