Ответы
Ответ дал:
0
Ответ:
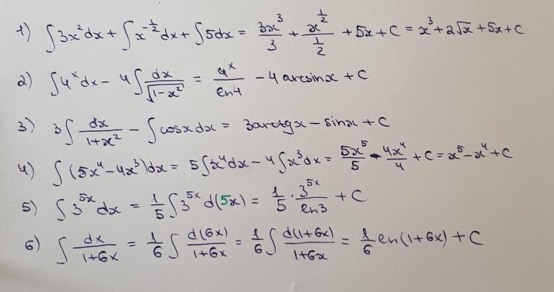
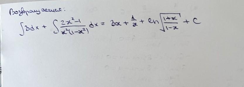
решение на фотографиях
Приложения:



Вас заинтересует
1 год назад
1 год назад
1 год назад
1 год назад
3 года назад
3 года назад