Ответы
Ответ дал:
1
....................................................................
Приложения:

Ответ дал:
1
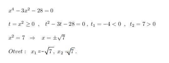
х⁴ - 3х² - 28 = 0
Пусть t = x², тогда:
t² - 3t - 28 = 0
По теореме обратной теореме Виета:
t1 + t2 = 3
t1 * t2 = -28
Значит, t1 = 7; t2 = -4
Корень t2 = -4 не подходит, так как t > 0
x² = 7 => x1 = √7; x2 = -√7
Ответ: √7; -√7
Вас заинтересует
1 год назад
1 год назад
3 года назад
3 года назад
8 лет назад