• Предмет: Алгебра
  • Автор: OystersT34
  • Вопрос задан 2 года назад

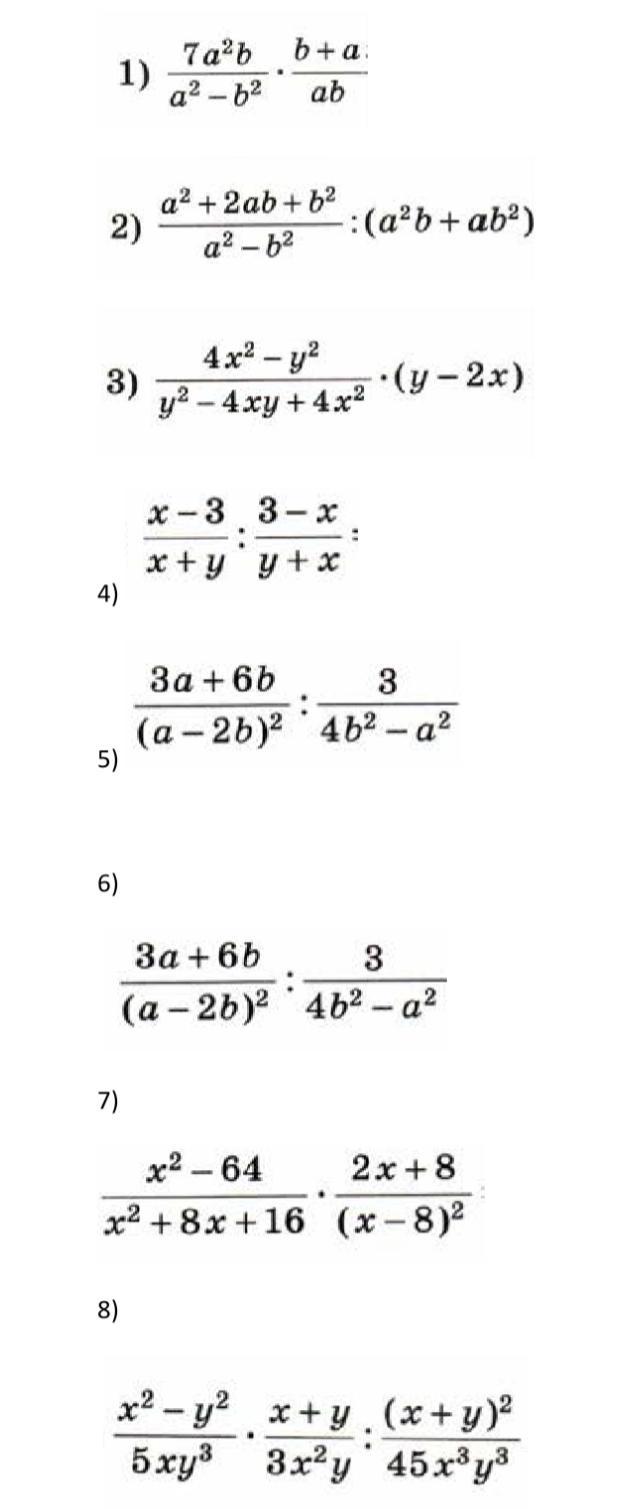
Выполните действия с алгебраическими дробями. ДАМ 100 БАЛЛОВ!

Пожалуйста, через пол часа уже идти!!!

Приложения:

Ответы

Ответ дал: NNNLLL54
1

1)\; \; \frac{7a^2b}{a^2-b^2}\cdot \frac{b+a}{ab}=\frac{7a}{(a-b)(a+b)}\cdot \frac{b+a}{1} =\frac{7a}{a-b}\\\\2)\; \; \frac{a^2+2ab+b^2}{a^2-b^2}:(a^2b+ab^2)=\frac{(a+b)^2}{(a-b)(a+b)}\cdot \frac{1}{ab(a+b)}=\frac{1}{ab(a-b)}\\\\3)\; \; \frac{4x^2-y^2}{y^2-4xy+4x^2}\cdot (y-2x)=\frac{(2x-y)(2x+y)}{(2x-y)^2}\cdot (y-2x)=-(2x+y)

4)\; \; \frac{x-3}{x+y}:\frac{3-x}{y+x}=\frac{x-3}{x+y}\cdot \frac{x+y}{3-x}=-1\\\\5)\; \; \frac{3a+6b}{(a-2b)^2}:\frac{3}{4b^2-a^2}=\frac{3(a+2b)}{(a-2b)^2}\cdot \frac{(2b-a)(2b+a)}{3}=\frac{(a+2b)^2}{2b-a}\\\\7)\; \; \frac{x^2-64}{x^2+8x+16}\cdot \frac{2x+8}{(x-8)^2}=\frac{(x-8)(x+8)}{(x+4)^2}\cdot \frac{2(x+4)}{(x-8)^2}=\frac{2(x+8)}{(x+4)(x-8)}

8)\; \; \frac{x^2-y^2}{5xy^3}\cdot \frac{x+y}{3x^2y}:\frac{(x+y)^2}{45x^3y^3}=\frac{(x-y)(x+y)}{5xy^3}\cdot \frac{x+y}{3x^2y}\cdot \frac{45x^3y^3}{(x+y)^2}=\\\\=\frac{(x-y)\cdot 15\cdot 3\cdot x^3y^3}{15x^3y^4(x+y)}=\frac{3(x-y)}{y(x+y)}

Вас заинтересует