Ответы
Ответ дал:
0
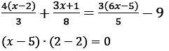
Ответ: во вложении Объяснение:
Приложения:

Вас заинтересует
2 года назад
2 года назад
3 года назад
8 лет назад
8 лет назад