• Предмет: Математика
  • Автор: mymail11
  • Вопрос задан 8 лет назад

Помогите, пожалуйста, дам 70 баллов
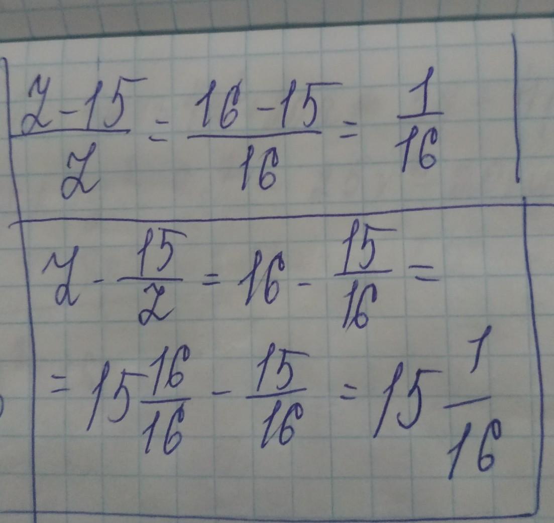
2) Найди значение алгебраической дроби z-15/z , при z=16
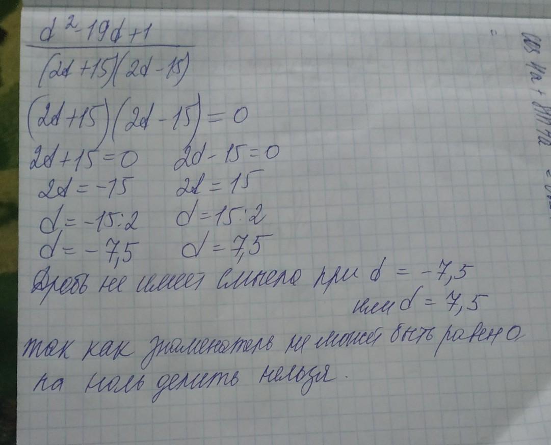
3) Дана алгебраическая дробь z-7/z-20
1. При каких значениях переменной значение дроби равно нулю?
Если z=
2. При каких значениях переменной дробь не определена?
Если z=

Приложения:

Ответы

Ответ дал: evgeniya1309
0

Пошаговое объяснение:

второе задание не понятно где дробная черта,поэтому решила два возможных варианта,выберете исходя из данных

Приложения:
Вас заинтересует