• Предмет: Алгебра
  • Автор: hackberry
  • Вопрос задан 8 лет назад

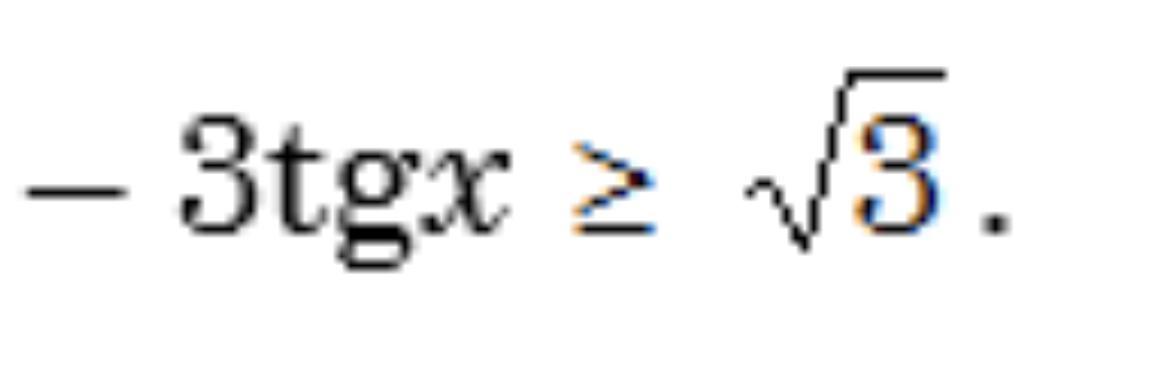
Здраствуйте,помогите пожайлуста решить неравенство

Приложения:

Ответы

Ответ дал: aibyn71
0

Ответ:

3tgx-3 в корне=0

3tgh=3 в корне

tgh=3в корне

_______

3

Вас заинтересует