• Предмет: Математика
  • Автор: Maker10
  • Вопрос задан 8 лет назад

Помогите пожалуйста решить с объяснениями. Даю 50 БАЛЛОВ

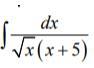
Приложения:

Ответы

Ответ дал: nikebod313
0

intlimits {dfrac{dx}{sqrt{x} (x+5)} } = begin{vmatrix}x=t^{2} \ dx = 2t  dt end{vmatrix} = intlimits{dfrac{2t}{t(t^{2} + 5)} }dt = 2intlimits{dfrac{dt}{t^{2} + (sqrt{5})^{2}} } =\\= dfrac{2}{sqrt{5}} text{arctg}dfrac{t}{sqrt{5}}+C=dfrac{2}{sqrt{5}} text{arctg}sqrt{dfrac{x}{5} }+C

Вас заинтересует