Ответы
Ответ дал:
0
Ответ:
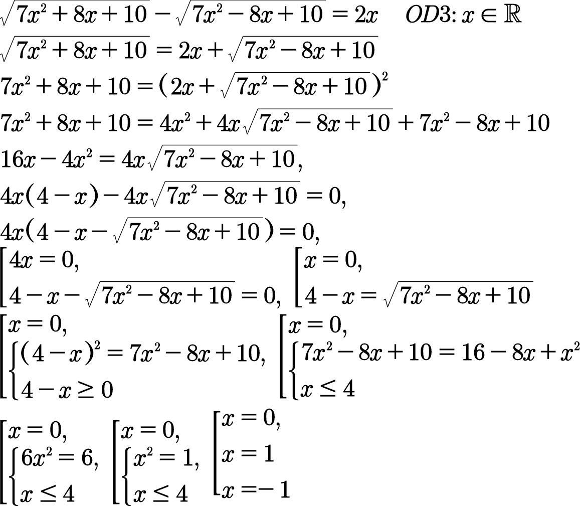
ответ: -1, 0, 1.
произведение: 0.
Объяснение:
см фото
Приложения:

Ответ дал:
0
Ответ: 0, так как один из корней - 0.
Объяснение:
Приложения:

Вас заинтересует
2 года назад
2 года назад
3 года назад
8 лет назад
9 лет назад