• Предмет: Математика
  • Автор: ВикаМи505
  • Вопрос задан 8 лет назад

Срочно!! 46 баллов!! Математика 7класс!!

Приложения:

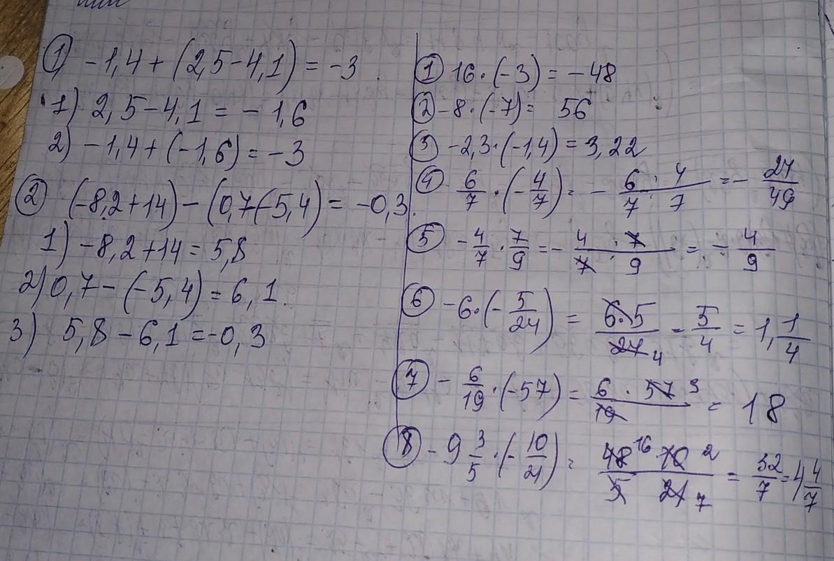
Ответы

Ответ дал: evgeniya1309
0

Пошаговое объяснение:

решение на фото прилагаю

Приложения:
Вас заинтересует