• Предмет: Математика
  • Автор: shamsgul73
  • Вопрос задан 8 лет назад

ребята, помогите , пожалуйста, решить.
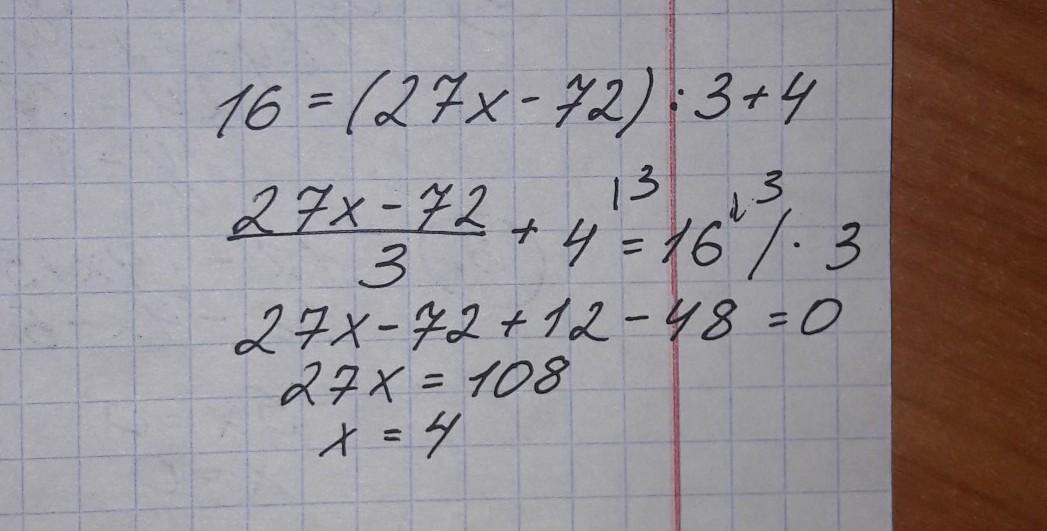
y = ( 27x - 72 ) : а + 4
найти x , если известно , что Y =16, а=3

Ответы

Ответ дал: brytkovaekaterina
0

Ответ:

..................................

Приложения:
Ответ дал: shamsgul73
0
а от куда получилось 108 ?
Ответ дал: ellaella19912
0

Ответ:

Пошаговое объяснение:

16=(27х-72):3+4

16-4=27х:3-24

12+24=27х:3

36=9х

х=4

Приложения:
Вас заинтересует