• Предмет: Алгебра
  • Автор: ksubol777
  • Вопрос задан 8 лет назад

Помогите,пожалуйста,как гуманитарию

Приложения:

Ответы

Ответ дал: qqwairz
0

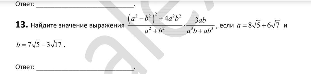
frac{(a^2-b^2)^2+4a^2b^2}{a^2+b^2} *frac{3ab}{a^3b+ab^3} = frac{a^4-2a^2b^2+b^4+4a^2b^2}{a^2+b^2} *frac{3ab}{ab(a^2+b^2)}=frac{a^4+2a^2b^2+b^4}{a^2+b^2} *frac{3}{a^2+b^2}=frac{(a^2+b^2)^2}{a^2+b^2} *frac{3}{a^2+b^2} =(a^2+b^2)*frac{3}{a^2+b^2} =3

Ответ: 3

Вас заинтересует