• Предмет: Алгебра
  • Автор: kuznecovk490
  • Вопрос задан 8 лет назад

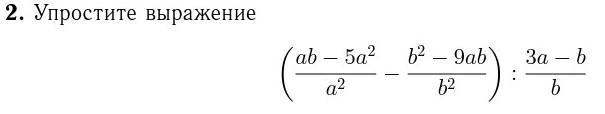
помогите плз!!!!!!!!​

Приложения:

Ответы

Ответ дал: Scythe1993
0

Ответ:

в объяснении

Объяснение:

(frac{ab-5a^2}{a^2}-frac{b^2-9ab}{b^2}):frac{3a-b}{b}= (frac{b-5a}{a}-frac{b-9a}{b})*frac{b}{3a-b}=frac{b^2-5ab-ab+9a^2}{ab}*frac{b}{3a-b}=frac{(3a-b)^2}{ab}*frac{b}{3a-b}= frac{3a-b}{a}=3-frac{a}{b}

Вас заинтересует