• Предмет: Алгебра
  • Автор: emmaxcrane
  • Вопрос задан 8 лет назад

ПОМОГИТЕ СРОЧНО ПРОШУ
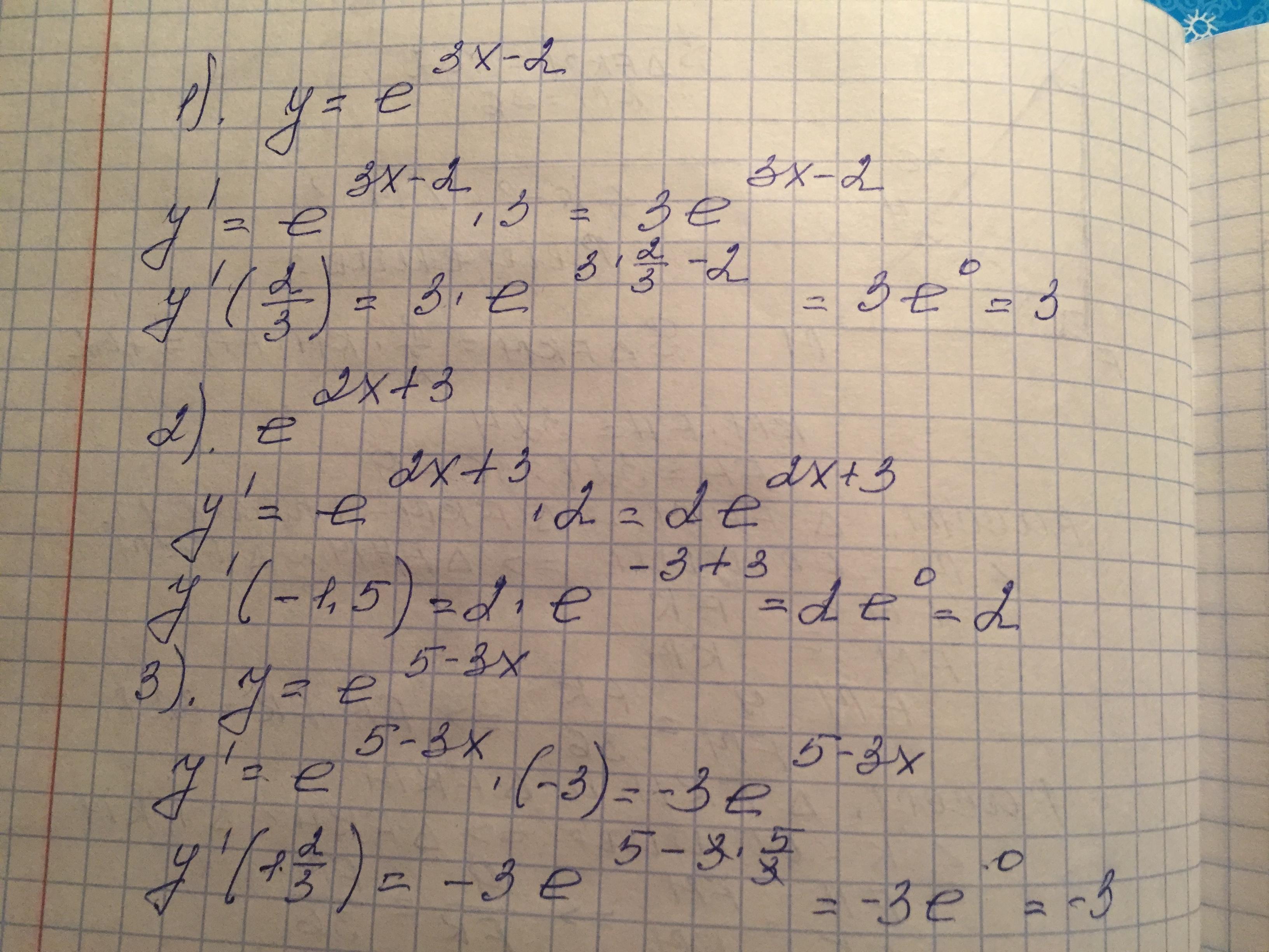
1) Найдите производную функции у = e3x-2. в точке х=2/3
2) Найдите производную функции у = е2х+3 в точке х=-1,5
3) Найдите значение производной функции у = е5 - 3х в точке 1
ДАЮ 50 БАЛЛОВ, ОТВЕТЬТЕ НА ВСЕ 3 ПОЖАЛУЙСТА

Ответы

Ответ дал: natalyabryukhova
0

Ответ:

===================================

Объяснение:

Приложения:
Вас заинтересует