• Предмет: Физика
  • Автор: SAHA1468
  • Вопрос задан 8 лет назад

Решите второе задание даю 20 баллов

Приложения:

Ответы

Ответ дал: AlwaysRight
0

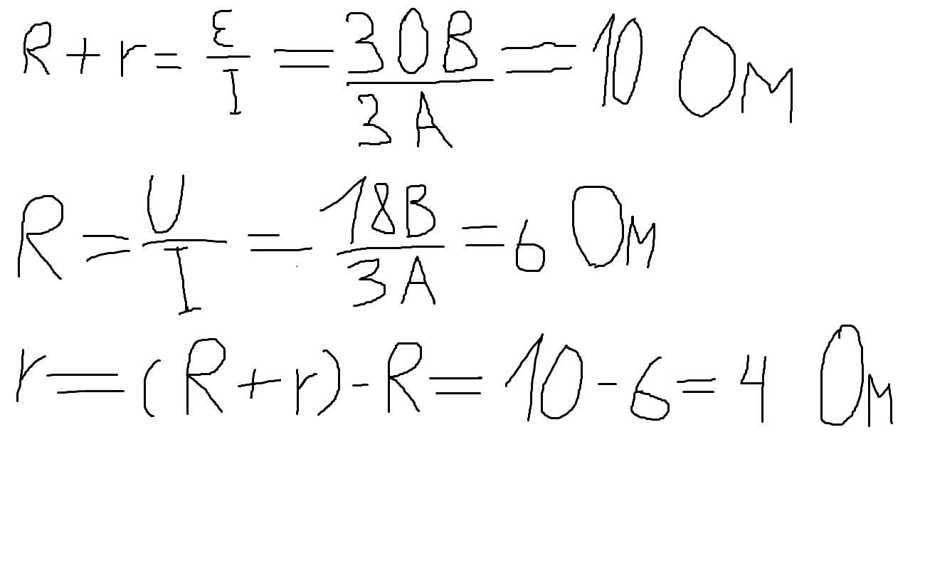
Решение расписал ниже

Приложения:
Вас заинтересует