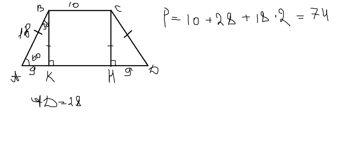
как найти периметр равнобокой трапеции если известен угол большего основания (60 градусов) большое основание (28 см) и боковая сторона ( 18 см)?
Ответы
Ответ дал:
0
проводишь высоту, следовательно прямоугольный треуг. сторона лежащая против угла в 30 градусов равен половине гипотенузы следовательно 9. АК=НД=9 28-19=10
Приложения:

Вас заинтересует
2 года назад
8 лет назад
8 лет назад
10 лет назад
10 лет назад
10 лет назад
10 лет назад