• Предмет: Математика
  • Автор: yurram905
  • Вопрос задан 8 лет назад

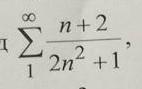
n+2/2n²+1
исследовать на сходимость ряда​ признак даламбера

Приложения:

Ответы

Ответ дал: igorShap
0

dfrac{n+2}{2n^2+1}geq dfrac{n}{2n^2+1}geq dfrac{n}{2n^2+2n}=dfrac{1}{2n+2}=dfrac{1}{2}cdot dfrac{1}{n+1}\ sumlimits_{n=1}^inftydfrac{1}{2}cdot dfrac{1}{n+1}=dfrac{1}{2}sumlimits_{k=2}^infty dfrac{1}{k}

sumlimits_{k=2}^infty dfrac{1}{k} расходится как гармонический.

Тогда и dfrac{1}{2}sumlimits_{k=2}^infty dfrac{1}{k} расходится.

Тогда sumlimits_{n=1}^infty dfrac{n+2}{2n^2+1} расходится по признаку сравнения

Ответ дал: yurram905
0
ок
Ответ дал: yurram905
0
бро, я ща последний вопрос закинул, можешь решить когда время будет?
Вас заинтересует