ПОМОГИТЕ. АЛГЕБРА. ДАЮ 35 БАЛЛОВ
Преобразуйте выражение в многочлен стандартного вида
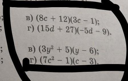
Приложения:

Ответы
Ответ дал:
0
Ответ: (8с+12)(3с-1)
24²с-8с+36с-12
24²с+28с-12
Объяснение:
Ответ дал:
0
в) =24с^28с+36с-12=24с^2+28с-12
г) = -75d^2 - 135 d - 15d - 243= -75d^2- 150 d - 243
в) =3y^3-18y+5y-30
г) = 7с^3-21с^2-с+4
Вас заинтересует
2 года назад
3 года назад
3 года назад
8 лет назад
8 лет назад
9 лет назад