• Предмет: Алгебра
  • Автор: MagicAlica
  • Вопрос задан 8 лет назад

Помогите пожалуйста
С решением.
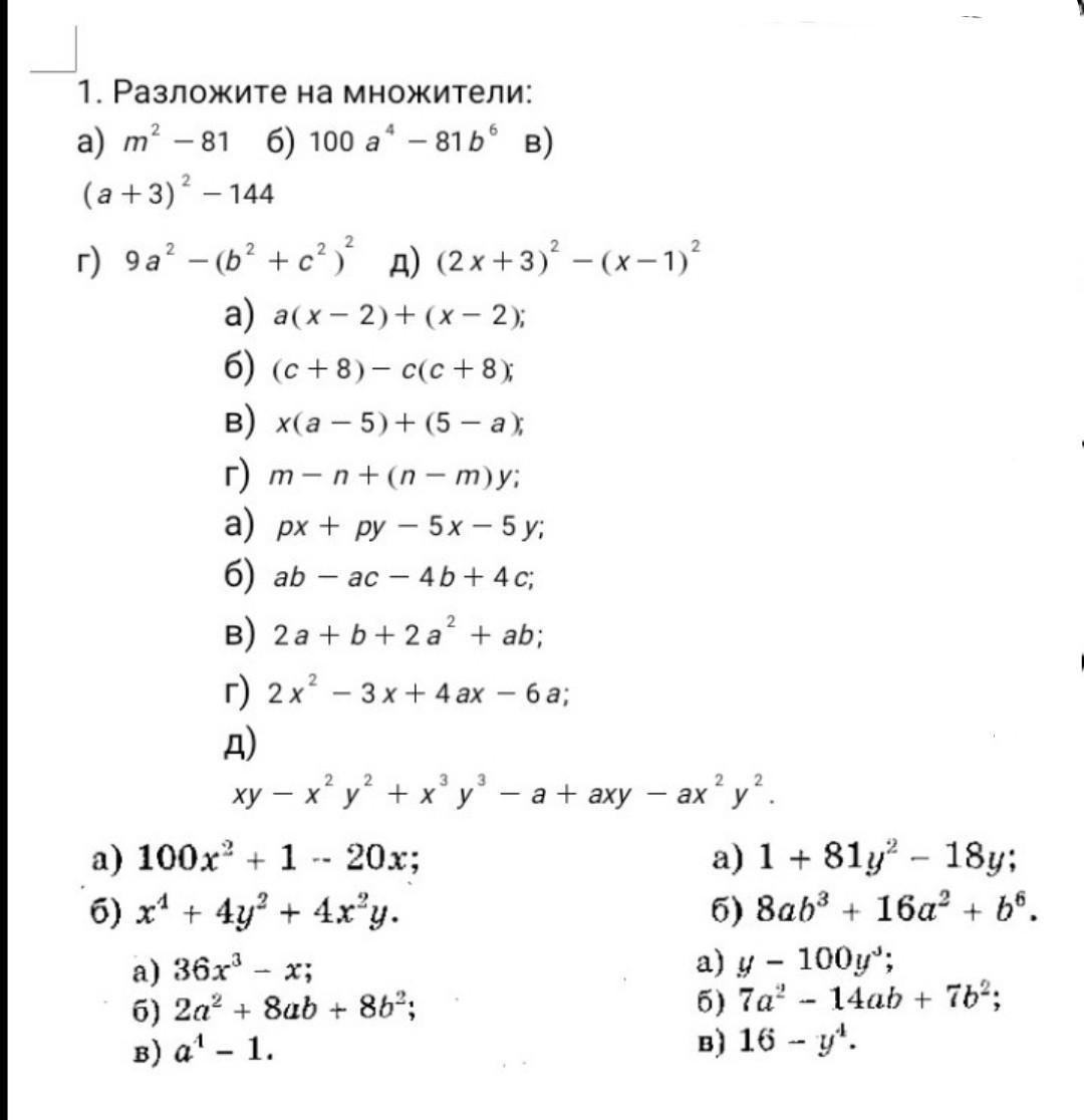
Алгебра 7 класс.​

Приложения:

Ответы

Ответ дал: fellsans2
0
Отметь как лучшее пожалуйста
Приложения:
Вас заинтересует