Ответы
Ответ дал:
0
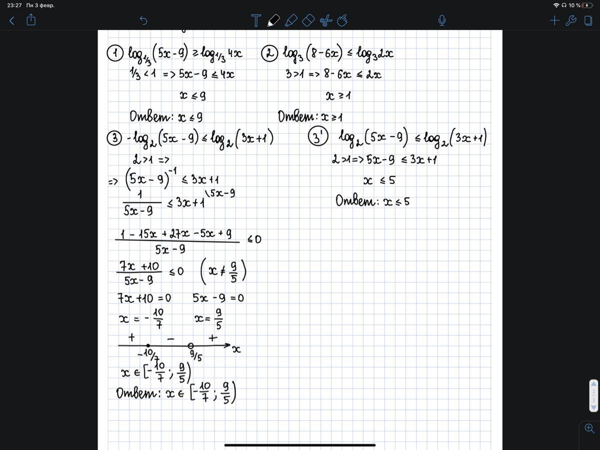
Я не понял момента с минусом в 3 номере, поэтому решил с ним и без него. Решение предоставлено в файле:
Приложения:

Вас заинтересует
2 года назад
2 года назад
3 года назад
8 лет назад
9 лет назад
9 лет назад