• Предмет: Алгебра
  • Автор: mariakrasotka2004
  • Вопрос задан 8 лет назад

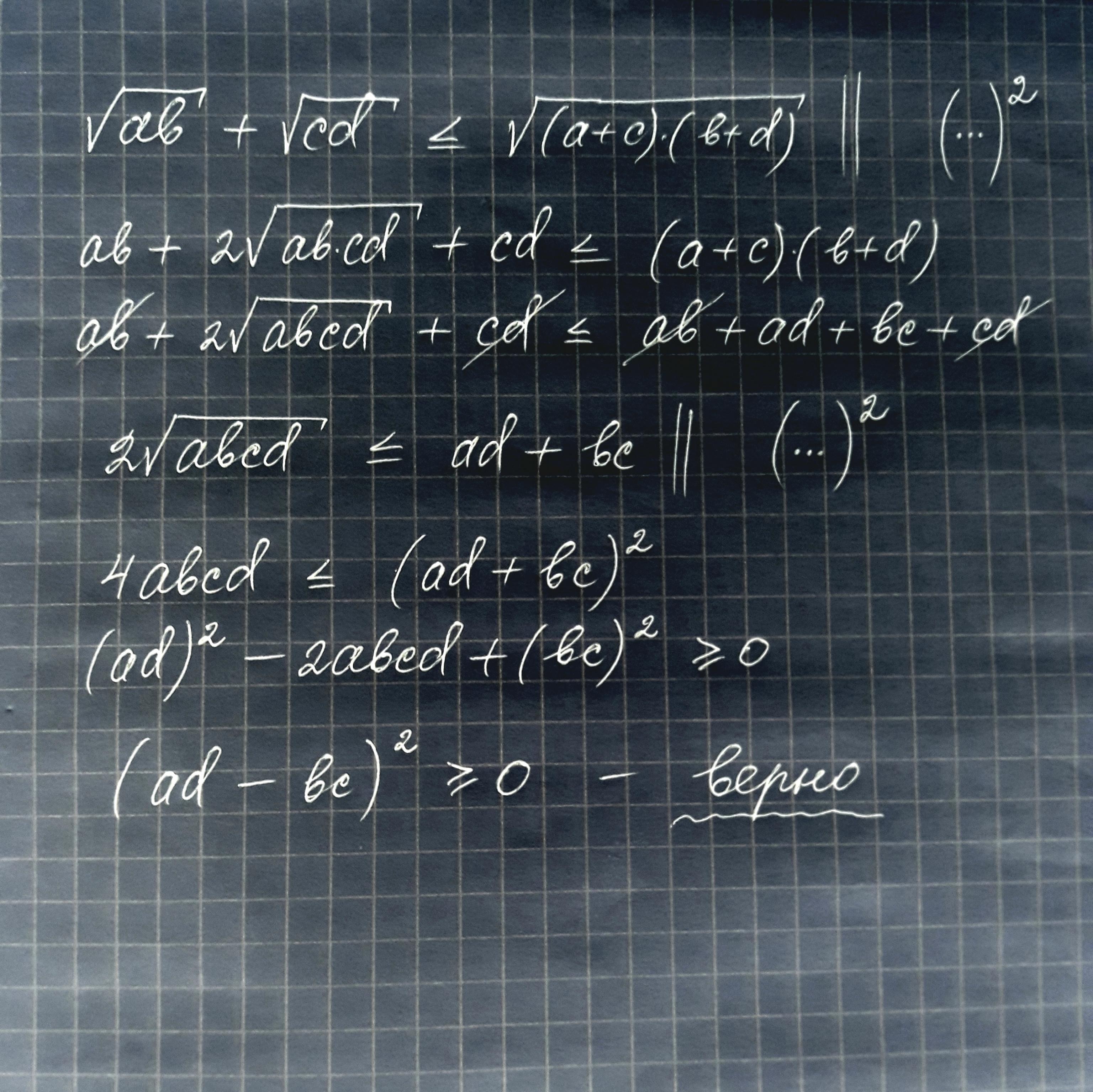
доведите неровность √ab + √cd ≤ √(a+c)×(b+d)​

Ответы

Ответ дал: Misha001192
0

Решение приложено

============================================================

Приложения:
Вас заинтересует