Ответы
Ответ дал:
0
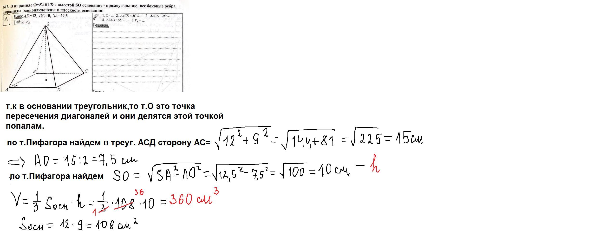
объем пирамиды равен 360 куб. см
решение внизу.а решать можно по шагам ,они написаны в правой стороне листка.
Приложения:

Вас заинтересует
2 года назад
3 года назад
8 лет назад