• Предмет: Алгебра
  • Автор: Olya2OBrien
  • Вопрос задан 8 лет назад

Решите систему уравнений.
Помогите, пожалуйста.

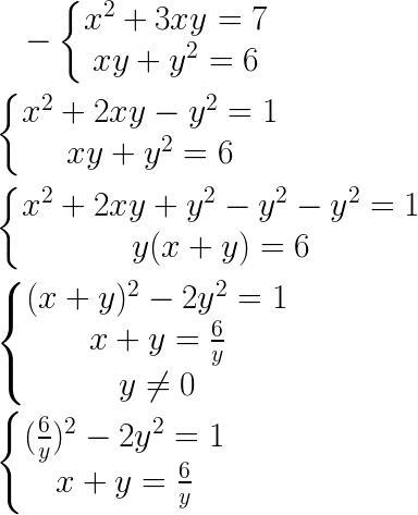
Приложения:

Ответы

Ответ дал: Хуqожнuк
0

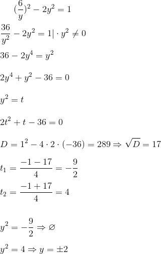
Ответ: (-1; -2), (1; 2)

Решение во вложениях.

Приложения:
Ответ дал: Olya2OBrien
0
Спасибо большое!
Вас заинтересует