Ответы
Ответ дал:
0
Ответ:
Найдем точки пересечения параболы y = x² - x и прямой y = 3x
Парабола и прямая пересекаются в точках (0; 0) и (4; 12)
Для того, чтобы получить площадь фигуры ограниченной линиями, необходимо вычислить определенный интеграл вида:
где a = x₁, b = x₂
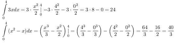
Решение первого и второго см. на рисунке.
Приложения:

Вас заинтересует
2 года назад
2 года назад
3 года назад
3 года назад
8 лет назад
8 лет назад