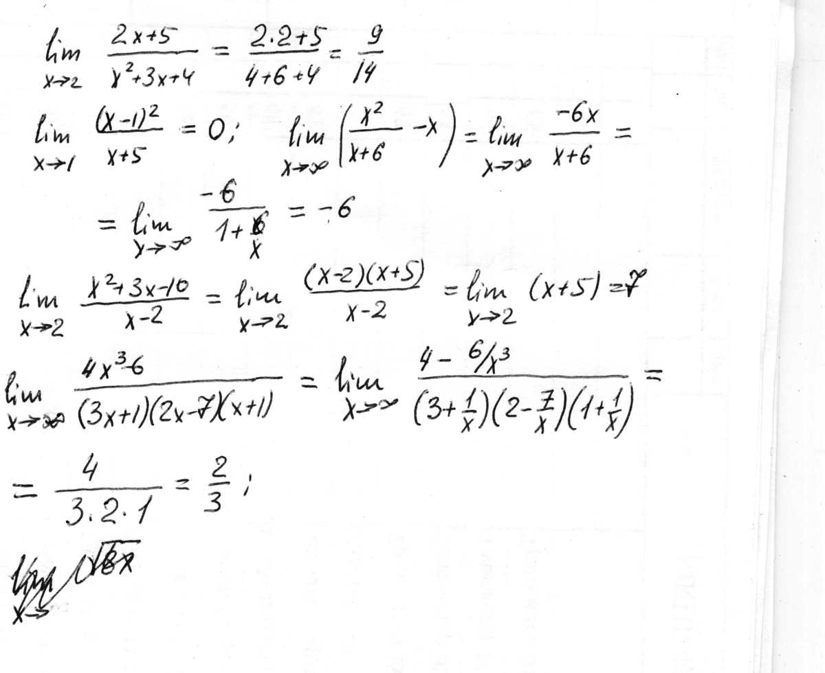
Предел стремится к 2. 2x+5/x^2+3x+4
Предел стремится к 1. x^2-2x+1/x+5
Предел стремится к бесконечности (x^2/x+6 -x)
Предел стремится к 2 x^2+3x-10/x-2
Предел стремится к бесконечности 4x^3-6/(3x+1)(2x-7)(x+1)
Предел стремится к бесконечности (sgrt8x-sgrt8x-3)
Ответы
Ответ дал:
0
в последнем не понял............................
Приложения:

Вас заинтересует
2 года назад
2 года назад
8 лет назад
8 лет назад
10 лет назад