• Предмет: Алгебра
  • Автор: andrew66655
  • Вопрос задан 8 лет назад

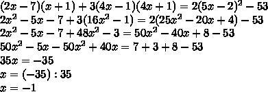
Решите уравнение? (2x-7)(x+1)+3(4x-1)(4x+1)=2(5x-2) во 2 степени-53

Ответы

Ответ дал: engineer54
0

Ответ:

Смотри ответ на прикреплённом фото

Объяснение:

Приложения:
Вас заинтересует