Ответы
Ответ дал:
0
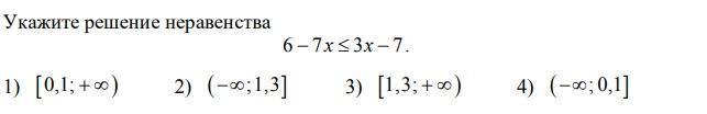
Ответ:3
Объяснение: переносим x в одну сторону
-10x<=-13
X>=1.3(знак меняется так-как сокращаем минус)
Ответ дал:
0
Ответ:
Объяснение:
Все в фото
Приложения:

Вас заинтересует
3 года назад
3 года назад
8 лет назад
9 лет назад
9 лет назад