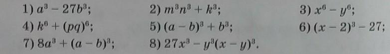
Разложите на множители многочлен помагиииииииииииииииите пожалуйстапожалуйста помогите
Приложения:

Ответы
Ответ дал:
0
Объяснение:
....................
Приложения:

Вас заинтересует
2 года назад
2 года назад
3 года назад
3 года назад
8 лет назад
9 лет назад