• Предмет: Алгебра
  • Автор: holmskaja
  • Вопрос задан 8 лет назад

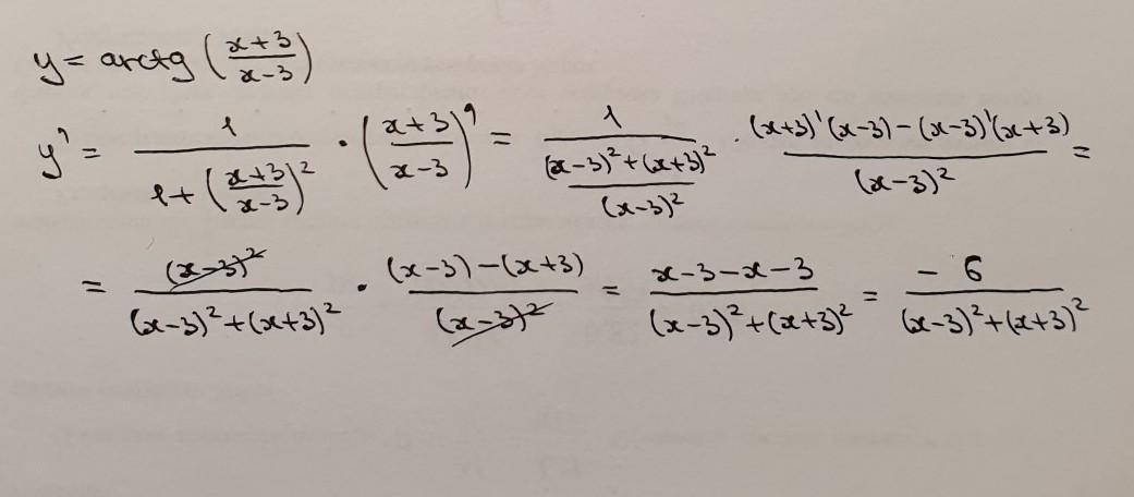
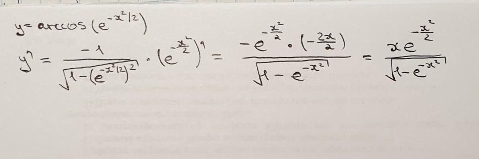
Найти производные и преобразовать их!
_________________

Приложения:

Ответы

Ответ дал: Miroslava227
0

Ответ:

решение на фотографиях

Приложения:
Вас заинтересует