• Предмет: Алгебра
  • Автор: Sabrine
  • Вопрос задан 8 лет назад

Здравствуйте)) Алгебра, 10 класс)
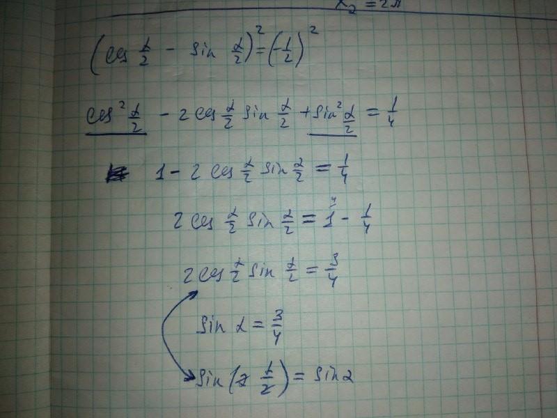
Найдите sin α, если
 cos( frac{ alpha }{2} )  -  sin( frac{ alpha }{2} )  =  -  frac{1}{2}
Помогите, я не понимаю, как это делать...​

Ответы

Ответ дал: sunnatxoja77
0

РЕШЕНИЕ СМОТРИ НА ФОТО:

Приложения:
Вас заинтересует