Ответы
Ответ дал:
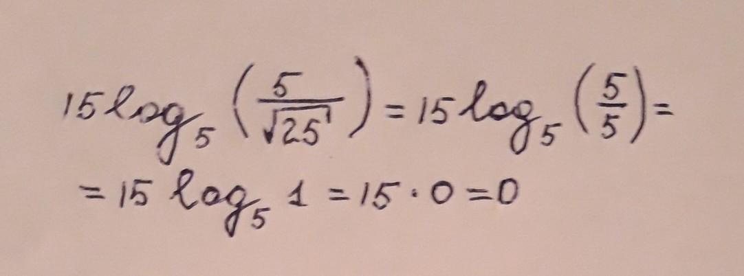
0
Ответ:
0
Вычислить логарифм.
Приложения:

Вас заинтересует
2 года назад
2 года назад
3 года назад
3 года назад
8 лет назад