• Предмет: Алгебра
  • Автор: SelestiaLudenburg
  • Вопрос задан 8 лет назад

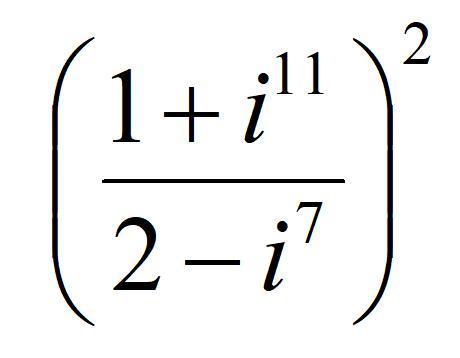
Выполните действия в алгебраической форме.

Приложения:

Ответы

Ответ дал: d2017337
0

Ответ:

-frac{8}{25}-frac{6 i}{25}

Объяснение:

i^{11} = -i, i^7 = -i

left(frac{1-i}{2+i}right) = left(frac{1-i}{2+i}right) left(frac{2-i}{2-i}right) = left(frac{(1-i)(2-i)}{5}right) = frac{1-3i}{5}

left(frac{1-i}{2+i}right)^2 = frac{(1-3i)^2}{25} = frac{-8-6i}{25}

Вас заинтересует