• Предмет: Алгебра
  • Автор: SelestiaLudenburg
  • Вопрос задан 8 лет назад

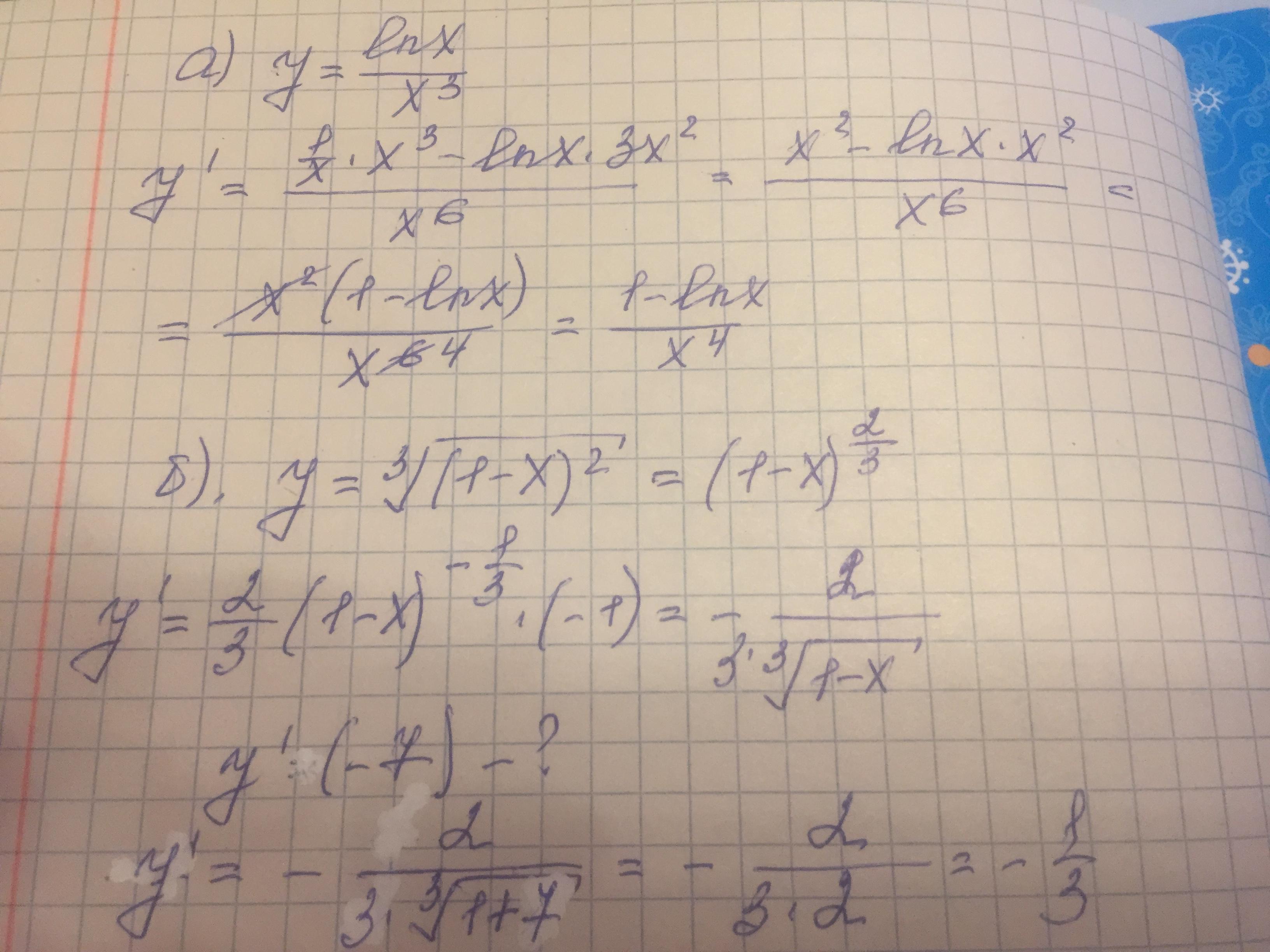
Найдите производную функции

Приложения:

Ответы

Ответ дал: natalyabryukhova
0

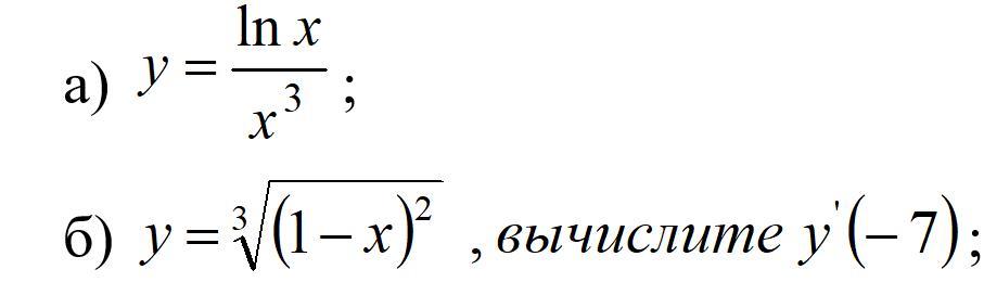
Ответ:

=============================

Объяснение:

Приложения:
Вас заинтересует