• Предмет: Алгебра
  • Автор: SelestiaLudenburg
  • Вопрос задан 8 лет назад

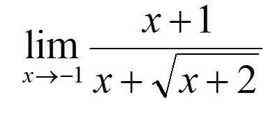
Вычислите предел функции

Приложения:

Ответы

Ответ дал: anna971905
0

держите решение)))))))))))

Приложения:
Вас заинтересует