Ответы
Ответ дал:
0
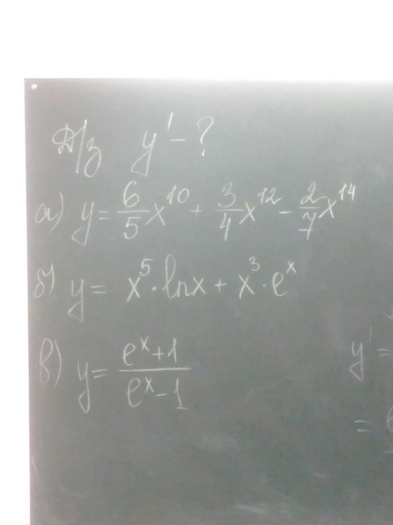
1. y' = 6/5 * 10 x^9 + 3/4 * 12 x^11 - 2/7 * 14 x^13 = 12x^9 + 9x^11 - 4x^13
2. y' = 5x^4 * lnx + x^5*1/x + 3x^2 * e^x + x^3 * e^x
3. Фото
2. y' = 5x^4 * lnx + x^5*1/x + 3x^2 * e^x + x^3 * e^x
3. Фото
Приложения:

Вас заинтересует
2 года назад
3 года назад
3 года назад
8 лет назад
8 лет назад