• Предмет: Алгебра
  • Автор: Аноним
  • Вопрос задан 8 лет назад

Срочно, решите уравнение, даю 100 баллов
с объяснением, пожалуйста

Приложения:

Ответы

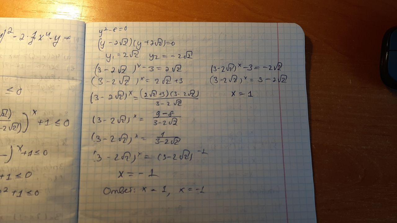
Ответ дал: alytiger770
0

Ответ:

1 и -1

Объяснение:

Приложения:
Ответ дал: m11m
0

Ответ:

Объяснение:

!!!!!!!!!!!!!!!!!!!!!!!!!!!

Приложения:
Вас заинтересует