• Предмет: Геометрия
  • Автор: aleksandr26052005
  • Вопрос задан 8 лет назад

Найдите наименьшую высоту треугольника со сторонами равными 5 см 6 см 7 см

Ответы

Ответ дал: Nastya07101
0

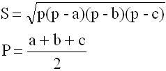
Найдем площадь треугольника по формуле Герона (прикрепила формулу картинкой)

p = (5+6+7) : 2 = 9 см

S = √ 9* (9-5)*(9-6)*(9-7) = √9*4*3*2 = √216 =  6√6 cм²

Наименьшей является высота, проведенная к большему основанию.

Теперь по формуле найдем ее длину

S = 1/2*h*a

h = S : 0,5a

h = frac{6sqrt{6}}{0.5*7} = frac{12sqrt{6} }{7}  см

как-то так..

Приложения:
Вас заинтересует