Ответы
Ответ дал:
0
Ответ:
Пошаговое объяснение:
вот и все
Приложения:

Ответ дал:
0
Пошаговое объяснение:
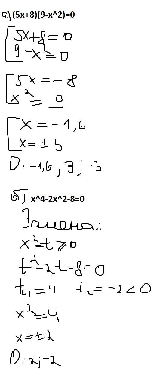
вот сфоткал 1 это б .а 2 это а) и вот еще не поместилось там ноль после =
Приложения:

Ответ дал:
0
Спасибо, братишка.
Вас заинтересует
2 года назад
2 года назад
3 года назад
3 года назад
8 лет назад
8 лет назад
9 лет назад
9 лет назад