• Предмет: Алгебра
  • Автор: lizadance456
  • Вопрос задан 8 лет назад

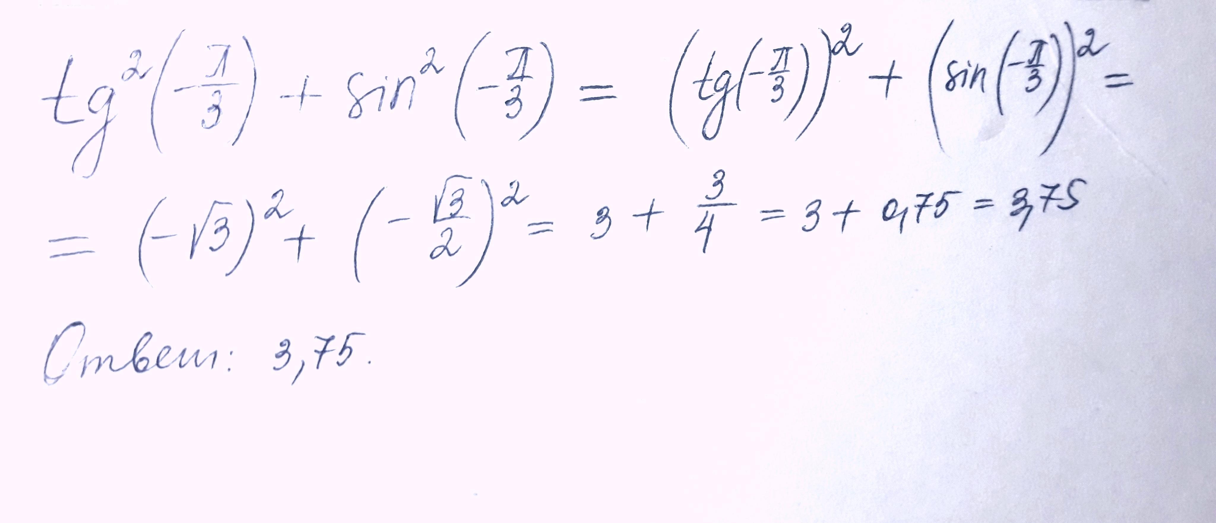
найдите значение выражения
tg^2(-п/3)+sin^2(-п/3)​

Ответы

Ответ дал: Misha001192
0

Решение приложено

============================================================

Приложения:
Вас заинтересует