• Предмет: Алгебра
  • Автор: berngargt01
  • Вопрос задан 8 лет назад

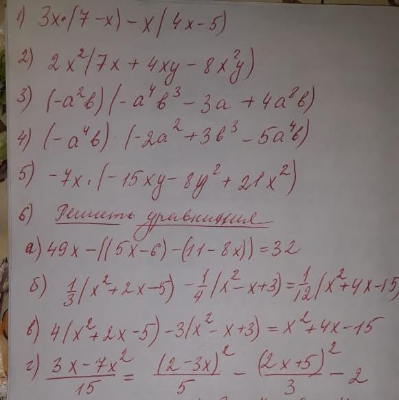
Помогите пожалуйста прям очень срочно надо

Приложения:

Ответы

Ответ дал: sharofat0
0

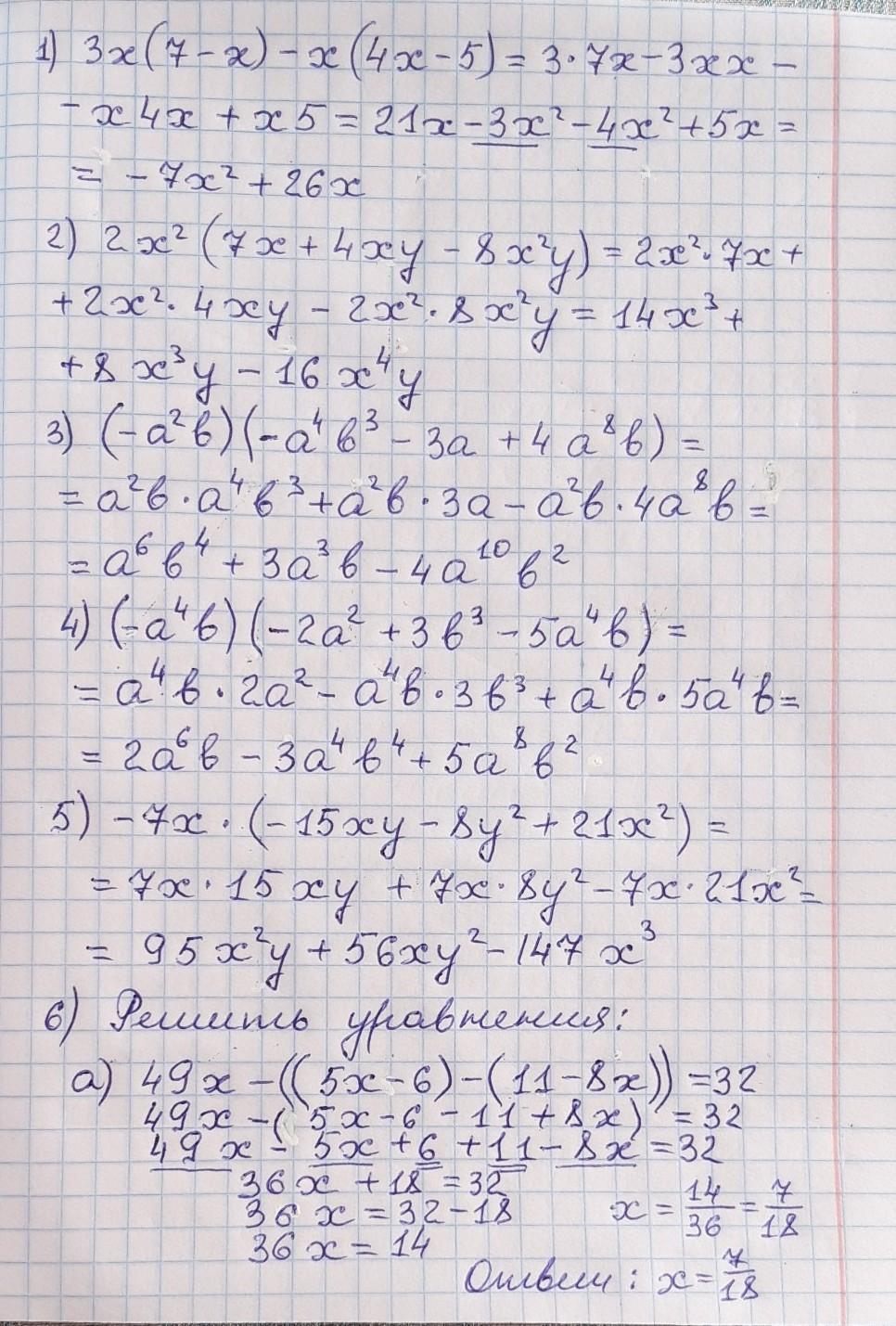
Ответ:

Упростиь выражение,раскрыв скобки.

Приложения:
Вас заинтересует