• Предмет: Алгебра
  • Автор: teslenkon78
  • Вопрос задан 8 лет назад

СРОООООООООЧНО РЕШИТЕ УРАВНЕНИЕ ДАМ 40 БАЛЛОВ

Приложения:

Ответы

Ответ дал: Аноним
0

Ответ:

5

Объяснение:

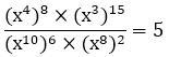
( X⁴ )⁸ = X³²

( X³ )¹⁵ = X⁴⁵

X³² * X⁴⁵ = X⁷⁷

( X¹⁰ )⁶ = X ⁶⁰

( X⁸ )² = X ¹⁶

X ⁶⁰ * X ¹⁶ = X⁷⁶

X ⁷⁷ : X ⁷⁶ = X

X = 5

Ответ дал: ElbortGames
0

Ответ:

x = 5

Объяснение:

frac{(x^{4})^{8} * (x^{3})^{15}   }{(x^{10} )^{6} * (x^{8})^{2} } = 5

frac{x^{32}x^{45}  }{(x^{10})^{6} *(x^{8} )^{2}  } = 5

frac{x^{32}x^{45}  }{x^{60}x^{16}  } = 5

frac{x^{77} }{x^{60}x^{16}  } = 5

frac{x^{77} }{x^{76} = 5}

Ответ: x = 5

Вас заинтересует