• Предмет: Алгебра
  • Автор: teslenkon78
  • Вопрос задан 8 лет назад

СРРОООООООООЧНО ДАМ 40 БАЛЛОВ
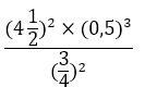
Найдите значение выражения

Приложения:

Ответы

Ответ дал: ElbortGames
0

Ответ:

4,5

Объяснение:

frac{(4frac{1}{2})^{2}*(0,5)^{3}   }{(frac{3}{4})^{2}  }

frac{(4+frac{1}{2})^{2}*(0,5)^{3}   }{(frac{3}{4})^{2}  }

frac{frac{81}{4}*0,125 }{(frac{3}{4})^{2}  }

frac{frac{81}{4}*0,125 }{frac{9}{16}^{}  }

frac{2,53125}{frac{9}{16} }

2,53125(frac{16}{9} )

0,28125*16

Ответ: 4,5

Ответ дал: Evgenia4836
0

Ответ:

frac{(frac{9}{2})^2*(frac{1}{2})^3}{(frac{3}{4})^2}= frac{3^4*2^4}{2^2*2^3*3^2}= frac{9}{2}= 4,5

Объяснение:

Вас заинтересует