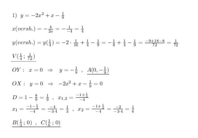
Найдите координаты вершины параболы и точек ее пересечения с осями Ох и Оу: у=-2 х^2+х-1/9 Помогите пожалуйста решить по алгебре
Ответы
Ответ дал:
0
.......................................................................
Приложения:

Вас заинтересует
2 года назад
3 года назад
3 года назад
8 лет назад
8 лет назад
9 лет назад