• Предмет: Математика
  • Автор: toxan4ik
  • Вопрос задан 8 лет назад

помогите пожалуйста дам 10 баллов пожалуйста​

Приложения:

Ответы

Ответ дал: ritinabadasian45695
0

Ответ:

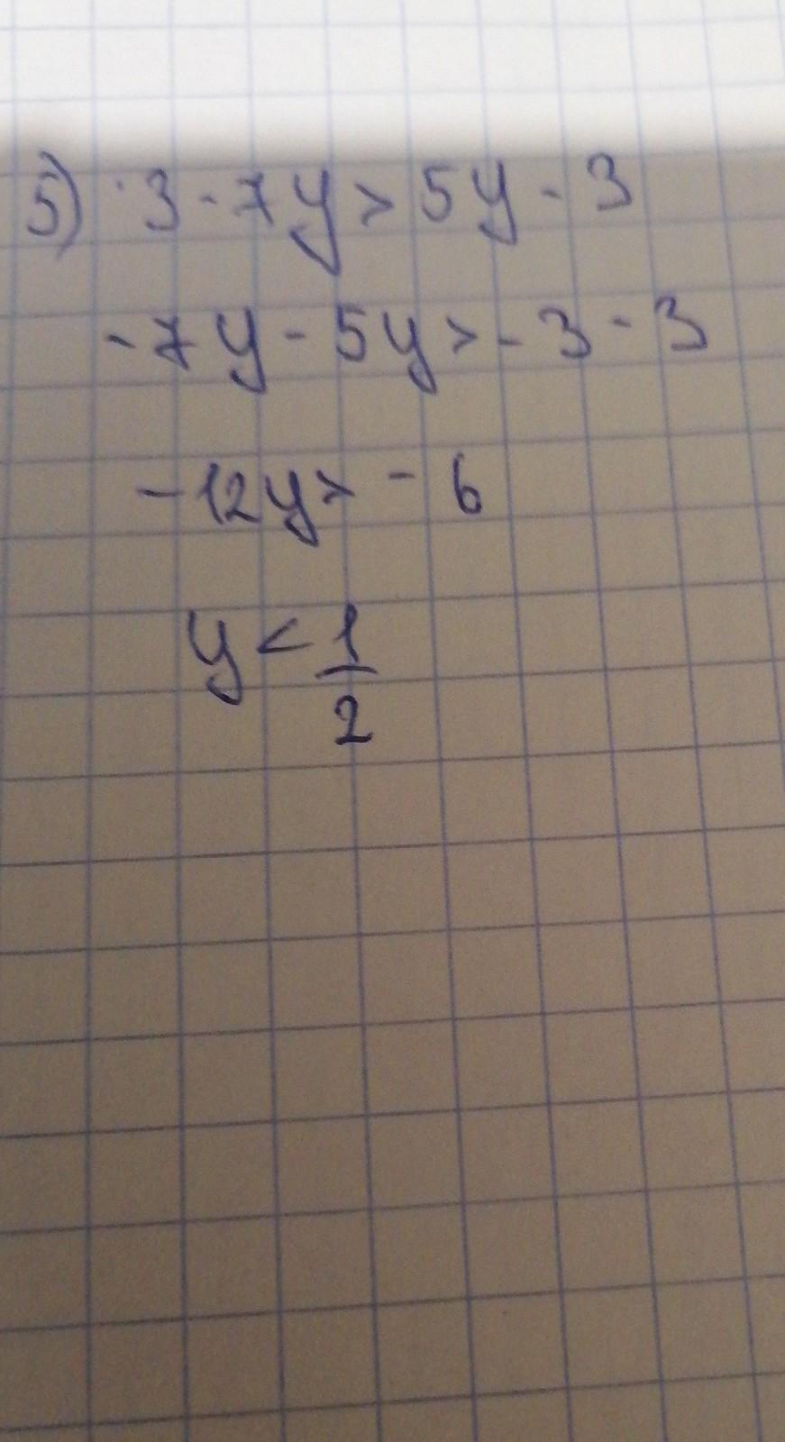
Как-то то так должно быть)

Приложения:
Вас заинтересует