Ответы
Ответ дал:
0
Ответ: (-3,4)^3-0,6^3=-39,304-0,216=-39,52.
Объяснение:
Ответ дал:
0
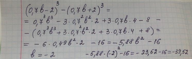
На фото детальное объяснение. Дерзай ;)
Приложения:

Вас заинтересует
2 года назад
3 года назад
8 лет назад
8 лет назад