Ответы
Ответ дал:
0
Ответ:2x в квадрате (2х в квадрате - 36)
Х(х в квадрате - 36)
Х=0
Х в квадрете - 36=0
Х1, 2=+-6
Объяснение:
Ответ дал:
0
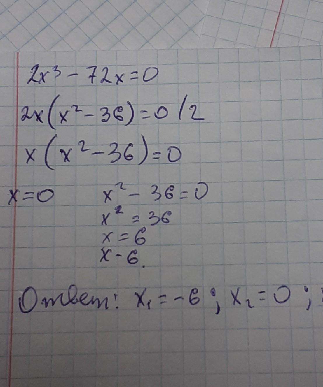
2х³-72x=0
2x(x²-36)=0 /2
x(x²-36)=0
x=0. x²-36=0
x²=36
x=6
x= -6
Ответ: x= -6; x=0; x=6
Приложения:

Вас заинтересует
2 года назад
3 года назад
8 лет назад
9 лет назад