• Предмет: Физика
  • Автор: dasew12
  • Вопрос задан 8 лет назад

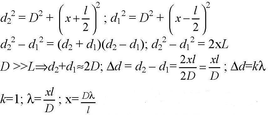
Два точечных источника света, расстояние между которыми 0,5 мм, испускают монохроматический свет с длиной волны 0,65 мкм. На расстоянии 3.2 м от источников расположен экран. На каком расстоянии от центрального (нулевого) максимума освещенности на экране находится первый максимум.

Ответы

Ответ дал: ImperorII
0

Відповідь:

Пояснення:

x = Dλ/L

x =  3.2*0.65*10⁻⁶/0.5*10⁻³ = 4.16*10⁻³ м = 4,16 мм

Приложения:
Вас заинтересует