• Предмет: Математика
  • Автор: ustinovmakard
  • Вопрос задан 8 лет назад

Помогите пожалуйста я дам 10 болов​

Приложения:

Ответы

Ответ дал: mariakuprina1703
0
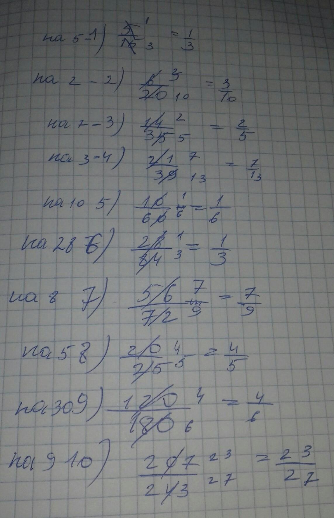
Надеюсь,что это правильно
Приложения:
Ответ дал: santyf
0

вот здесь все подробно написано.Удачи)

Приложения:
Вас заинтересует