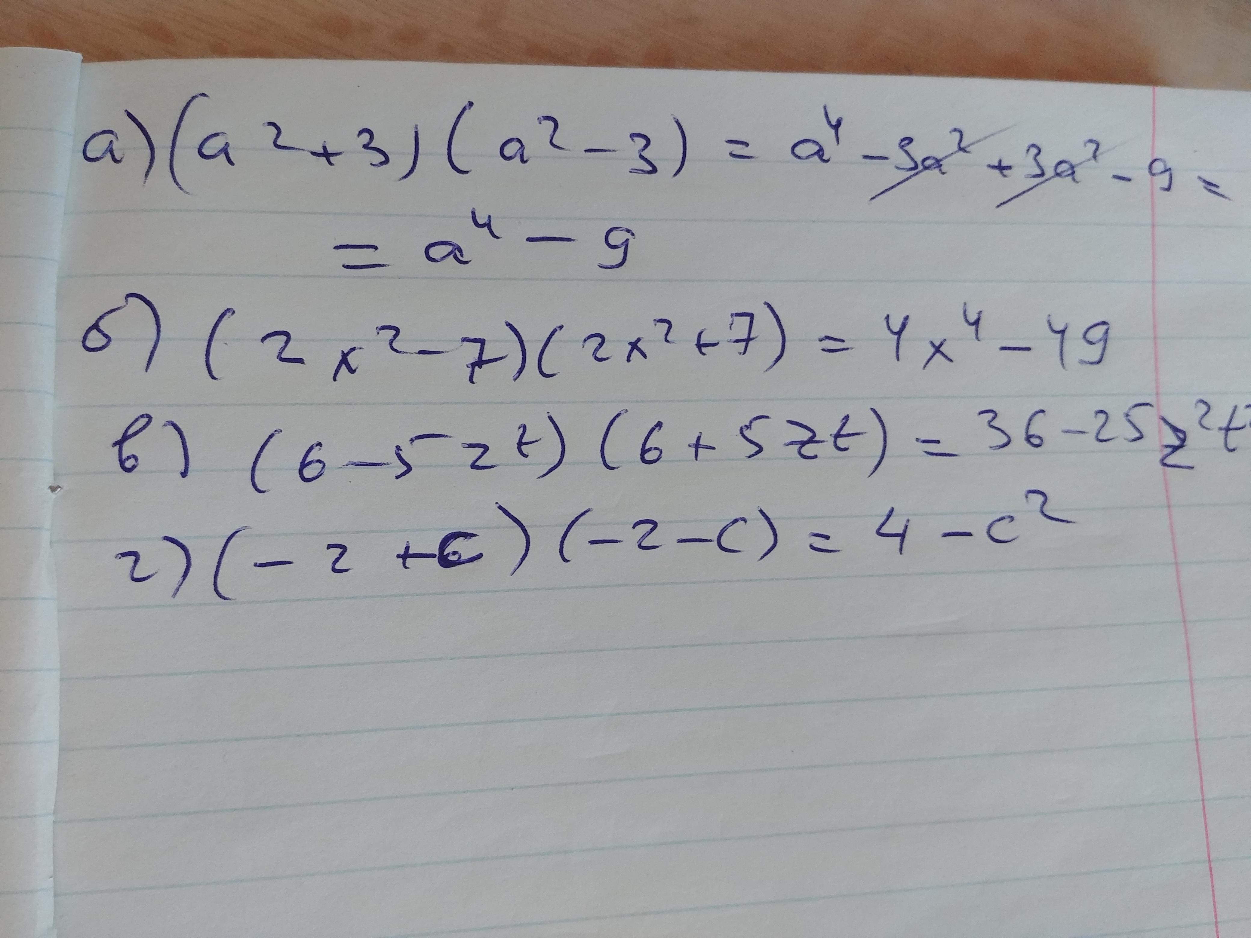
Запишіть у вигляді многочлена:
а) (а^2+3)(а^2-3)
б) (2х^2-7)(2х^2+7)
в) (6-5zt)(6+5zt)
г) (-2+с)(-2-с)
                        
                            
                            
                    Ответы
                                            Ответ дал: 
                                                                                    
                                        
                                            
                                                
                                                
                                                
                                                    0
                                                
                                            
                                        
                                    Ответ:
смотри фото
Объяснение:
Приложения:
                    
                            Вас заинтересует
                
                        2 года назад
                    
                
                        2 года назад
                    
                
                        3 года назад
                    
                
                        3 года назад
                    
                
                        8 лет назад
                    
                
                        8 лет назад
                    
                
                        9 лет назад